Zadanie

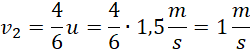
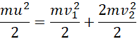
Oblicz prędkości kul po zderzeniu sprężystym, jeśli kula o masie m poruszała się początkowo z prędkością 1,5 m/s, a kula o masie 2m początkowo spoczywała.

Rozwiązanie

Wyjaśnienie

Zadania z tego działu
Praca, moc, energia mechaniczna
94
19. Zderzenia ciał
106