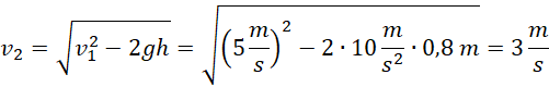
Oblicz szybkość wózka, jaką posiada wózek na szczycie równi o wysokości obliczonej w punkcie a, jeśli u podstawy nadano mu szybkość 5 m/s.
Rozwiązanie
Wyjaśnienie
Korzystamy z zasady zachowania energii mechanicznej. Energia kinetyczna u podstawy równi jest równa energii kinetycznej i potencjalnej na szczycie równi.