Na podstawie danych przedstawionych w treści zadania oblicz czas jazdy i moc końcową rowerzysty.
Korzystamy ze wzoru na czas wyznaczonego w punkcie a. Aby znaleźć moc końcową, wstawiamy do zależności na moc wartość czasu całego ruchu.
Zadanie 16.1.
Zadanie 16.2.
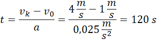
Podpunkt a)
Podpunkt b)
Zadanie 16.3.
Zadanie 16.4.
Zadanie 16.5.
Zadanie 16.6.
Podpunkt c)
Zadanie 16.7.
Zadanie 16.8.
Zadanie 16.9.
Zadanie 16.10.
Zadanie 16.11.
Zadanie 16.12.
Zadanie 16.13.
Zadanie 16.14.
Zadanie 16.15.
Zadanie 16.16.
Zadanie 16.17.
Zadanie 16.18.
Zadanie 16.19.
Zadanie 16.20.
Zadanie 16.21.
Zadanie 17.1.
Zadanie 17.2.
Zadanie 17.3.
Zadanie 17.4.
Zadanie 17.5.
Zadanie 17.6.
Zadanie 17.7.
Zadanie 17.8.
Zadanie 17.9.
Zadanie 17.10.
Zadanie 17.11.
Zadanie 17.12.
Zadanie 17.13.
Zadanie 17.14.
Zadanie 17.15.
Zadanie 17.16.
Zadanie 18.1.
Zadanie 18.2.
Zadanie 18.3.
Zadanie 18.4.
Zadanie 18.5.
Zadanie 18.6.
Zadanie 18.7.
Zadanie 18.8.
Zadanie 18.9.
Zadanie 18.10.
Zadanie 18.11.
Zadanie 18.12.
Zadanie 18.13.
Zadanie 18.14.
Zadanie 18.15.
Zadanie 18.16.
Zadanie 18.17.
Zadanie 18.18.
Zadanie 18.19.
Zadanie 18.20.
Zadanie 19.1.
Zadanie 19.2.
Zadanie 19.3.
Zadanie 19.4.
Zadanie 19.5.
Zadanie 19.6.
Zadanie 19.7.
Zadanie 20.1.
Zadanie 20.2.
Zadanie 20.3.
Zadanie 20.4.
Zadanie 20.5.
Zadanie 20.6.
Podpunkt d)
Zadanie 20.7.
Zadanie 20.8.
Podpunkt e)