Przypadek 1:
Przypadek 2:
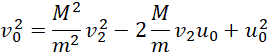
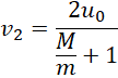
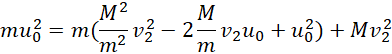
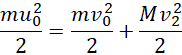
W pierwszym przypadku wyznaczamy wartość prędkości za pomocą zasady zachowania pędu. W drugim przypadku wykorzystujemy zasadę zachowania energii mechanicznej oraz zasadę zachowania pędu. Otrzymane zależności przekształcamy, a na koniec zestawiamy ze sobą ostateczne wyniki.