Na podstawie danych przedstawionych w treści zadania oblicz szybkość, jaka została nadana wózkowi, jeśli odchylona od pionu kulka przykleiła się do niego.
Rozwiązanie
Wyjaśnienie
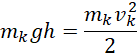
Za pomocą zasady zachowania energii mechanicznej obliczamy prędkość kulki w najniższym punkcie zaraz przed zderzeniem z wózkiem. Następnie stosujemy zasadę zachowania pędu, aby obliczyć prędkość wózka po złączeniu z kulką.