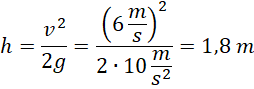
Odpowiedz, na jaką wysokość dotrze piłka wyrzucona pionowo w górę z szybkością 6 m/s.
Rozwiązanie
Wyjaśnienie
Korzystamy z zasady zachowania energii mechanicznej. W najniższym punkcie jest ona równa energii kinetycznej, a w najwyższym energii potencjalnej. Przekształcamy powstałą zależność i wstawiamy dane liczbowe.