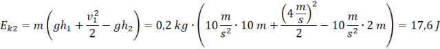
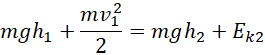
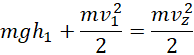
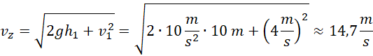
Zadanie

Oblicz energię kinetyczną kamienia o masie 20 dag na wysokości 2 m i szybkość, z jaką uderzy o powierzchnię ziemi, jeśli rzucono go z wysokości 10 m i nadano mu przy tym szybkość początkową 4 m/s.

Rozwiązanie

Wyjaśnienie

Zadania z tego działu
Praca, moc, energia mechaniczna
94
19. Zderzenia ciał
106