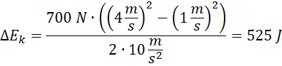
Na podstawie danych przedstawionych w treści zadania oblicz część całkowitej pracy wykonanej przez rowerzystę, jaka była potrzebna do wzrostu jego energii kinetycznej.
Rozwiązanie
Wyjaśnienie
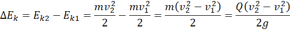
Na podstawie danych wyznaczonych w punkcie a obliczamy przyrost energii kinetycznej i pracę wykonaną przez rowerzystę, a następnie zestawiamy je ze sobą.