Na podstawie danych podanych w treści zadnia oblicz, z jakimi szybkościami będą poruszać się obie kulki po zderzeniu.
Rozwiązanie
Wyjaśnienie
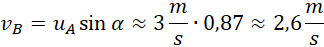
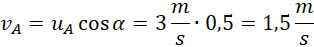
Składowa prędkości początkowej kulki A na kierunku prostopadłym do płaszczyzny styku kulek jest prędkością przekazaną kulce B. Kulka A porusza się z prędkością równą składowej tej prędkości na kierunku równoległym do płaszczyzny styku.