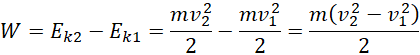
Wiedząc, że piłeczka o masie 50 g wyrzucona początkowo z szybkością 8 m/s powróciła z szybkością 6 m/s oblicz pracę wykonaną przez siłę oporu powietrza.
Rozwiązanie
Wyjaśnienie
Wartość pracy wykonanej przez siły oporu powietrza jest równa przyrostowi energii mechanicznej piłeczki.