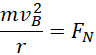
Punkt B:
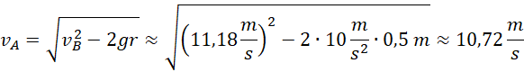
Punkt A:
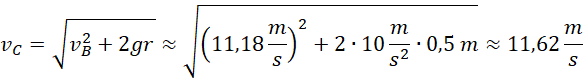
Punkt C:
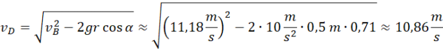
Punkt D:
Korzystając z I zasady dynamiki dla punktu B obliczamy prędkość w tym punkcie. Następnie, dobierając odpowiednio poziom 0 obliczamy prędkości w pozostałych punktach stosując zasadę zachowania energii mechanicznej.