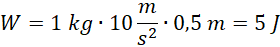
Oblicz, jaką pracę wykonała siła ciężkości, gdy ciało o masie 1 kg znajdujące się na wysokości 0,5 m nad podłożem spadło swobodnie.
Wykorzystujemy wzór na pracę, kąt między siłą a przemieszczeniem wynosi 0°.
Zadanie 16.1.
Zadanie 16.2.
Podpunkt a)
Podpunkt b)
Zadanie 16.3.
Zadanie 16.4.
Zadanie 16.5.
Zadanie 16.6.
Podpunkt c)
Zadanie 16.7.
Zadanie 16.8.
Zadanie 16.9.
Zadanie 16.10.
Zadanie 16.11.
Zadanie 16.12.
Zadanie 16.13.
Zadanie 16.14.
Zadanie 16.15.
Zadanie 16.16.
Zadanie 16.17.
Zadanie 16.18.
Zadanie 16.19.
Zadanie 16.20.
Zadanie 16.21.
Zadanie 17.1.
Zadanie 17.2.
Zadanie 17.3.
Zadanie 17.4.
Zadanie 17.5.
Zadanie 17.6.
Zadanie 17.7.
Zadanie 17.8.
Zadanie 17.9.
Zadanie 17.10.
Zadanie 17.11.
Zadanie 17.12.
Zadanie 17.13.
Zadanie 17.14.
Zadanie 17.15.
Zadanie 17.16.
Zadanie 18.1.
Zadanie 18.2.
Zadanie 18.3.
Zadanie 18.4.
Zadanie 18.5.
Zadanie 18.6.
Zadanie 18.7.
Zadanie 18.8.
Zadanie 18.9.
Zadanie 18.10.
Zadanie 18.11.
Zadanie 18.12.
Zadanie 18.13.
Zadanie 18.14.
Zadanie 18.15.
Zadanie 18.16.
Zadanie 18.17.
Zadanie 18.18.
Zadanie 18.19.
Zadanie 18.20.
Zadanie 19.1.
Zadanie 19.2.
Zadanie 19.3.
Zadanie 19.4.
Zadanie 19.5.
Zadanie 19.6.
Zadanie 19.7.
Zadanie 20.1.
Zadanie 20.2.
Zadanie 20.3.
Zadanie 20.4.
Zadanie 20.5.
Zadanie 20.6.
Podpunkt d)
Zadanie 20.7.
Zadanie 20.8.
Podpunkt e)