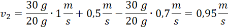
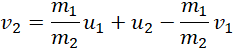
Na podstawie danych przedstawionych na rysunku w podręczniku oblicz prędkości kulki 2 po zderzeniu.
Zapisujemy zasadę zachowania pędu. Przekształcamy wzór i wstawiamy dane liczbowe.
Zadanie 16.1.
Zadanie 16.2.
Podpunkt a)
Podpunkt b)
Zadanie 16.3.
Zadanie 16.4.
Zadanie 16.5.
Zadanie 16.6.
Podpunkt c)
Zadanie 16.7.
Zadanie 16.8.
Zadanie 16.9.
Zadanie 16.10.
Zadanie 16.11.
Zadanie 16.12.
Zadanie 16.13.
Zadanie 16.14.
Zadanie 16.15.
Zadanie 16.16.
Zadanie 16.17.
Zadanie 16.18.
Zadanie 16.19.
Zadanie 16.20.
Zadanie 16.21.
Zadanie 17.1.
Zadanie 17.2.
Zadanie 17.3.
Zadanie 17.4.
Zadanie 17.5.
Zadanie 17.6.
Zadanie 17.7.
Zadanie 17.8.
Zadanie 17.9.
Zadanie 17.10.
Zadanie 17.11.
Zadanie 17.12.
Zadanie 17.13.
Zadanie 17.14.
Zadanie 17.15.
Zadanie 17.16.
Zadanie 18.1.
Zadanie 18.2.
Zadanie 18.3.
Zadanie 18.4.
Zadanie 18.5.
Zadanie 18.6.
Zadanie 18.7.
Zadanie 18.8.
Zadanie 18.9.
Zadanie 18.10.
Zadanie 18.11.
Zadanie 18.12.
Zadanie 18.13.
Zadanie 18.14.
Zadanie 18.15.
Zadanie 18.16.
Zadanie 18.17.
Zadanie 18.18.
Zadanie 18.19.
Zadanie 18.20.
Zadanie 19.1.
Zadanie 19.2.
Zadanie 19.3.
Zadanie 19.4.
Zadanie 19.5.
Zadanie 19.6.
Zadanie 19.7.
Zadanie 20.1.
Zadanie 20.2.
Zadanie 20.3.
Zadanie 20.4.
Zadanie 20.5.
Zadanie 20.6.
Podpunkt d)
Zadanie 20.7.
Zadanie 20.8.
Podpunkt e)