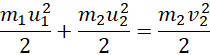
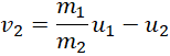
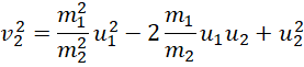
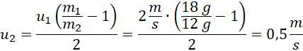
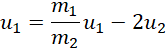
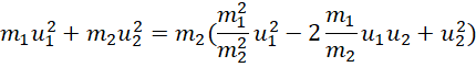
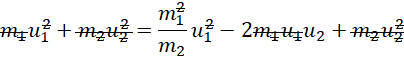
Zapisujemy zasadę zachowania energii mechanicznej w układzie oraz zasadę zachowania pędu. Kulki odbijają się sprężyście. Wiemy, że pierwsza kulka nie ma prędkości po zderzeniu i zakładamy, że kulka 2 po zderzeniu poruszała się w prawo. Przekształcamy powstałe zależności i wstawiamy dane liczbowe.