Oblicz, jaka powinna być minimalna prędkość klocka w najniższym punkcie pętli o promieniu 10 cm, aby przebyć ją bez odrywania się od pętli.
Rozwiązanie
Wyjaśnienie
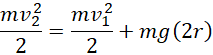
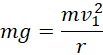
Zapisujemy warunek na przebycie pętli bez odrywania w jej najwyższym punkcie. Wyznaczamy wartość prędkości w tym miejscu, a następnie zapisujemy zasadę zachowania energii, rozpatrując najniższy i najwyższy punkt pętli.