Oblicz przyspieszenie piłeczki o promieniu 1,5 cm i gęstości 750 kg/m3 puszczonej z dna basenu, jeśli podczas ruchu w wodzie na kulkę działa siła oporu o średniej wartości .
Rozwiązanie
Wyjaśnienie
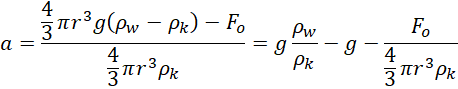
Zapisujemy I zasadę dynamiki dla piłeczki. Korzystamy ze wzoru na siłę wyporu oraz z II zasady dynamiki, wyznaczając przyspieszenie piłeczki.