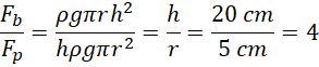
Wiedząc, że naczynie w kształcie walca o promieniu podstawy 5 cm i wysokości 20 cm wypełniono całkowicie wodą oblicz, ile razy większa jest wartość siły parcia na boczną powierzchnię naczynia od wartości parcia na jego dno.
Rozwiązanie
Wyjaśnienie
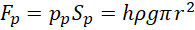
Zapisujemy wzory na siłę parcia na podstawę oraz ścianę boczną, wiedząc, że jest to iloczyn ciśnienia i pola powierzchni. Dla obliczenia siły parcia na ścianę boczną zakładamy, że siła działa na wysokości równej połowie wysokości naczynia.