Zadanie

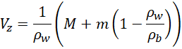
Na podstawie danych przedstawionych w treści zadania oblicz różnicę objętości zanurzonej części łódki w przypadku, gdy ładunek znajduje się w i pod łódką.

Rozwiązanie

Wyjaśnienie

Zadania z tego działu
Zjawiska hydrostatyczne
110
25. Zastosowanie prawa Archimedesa do wyznaczania gęstości
127