Zadanie

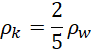
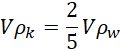
Oblicz masę ciała, które należałoby położyć na górnej ścianie sześciennego klocka o masie 0,2 kg, aby całkowicie go zanurzyć, jeśli bez obciążenia pływa zanurzony w wodzie do 2/5 swojej objętości.

Rozwiązanie

Wyjaśnienie

Zadania z tego działu
Zjawiska hydrostatyczne
110
25. Zastosowanie prawa Archimedesa do wyznaczania gęstości
127