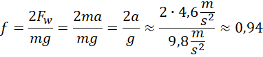
Na podstawie danych zawartych w treści zadania oblicz minimalny współczynnik tarcia statycznego opon o nawierzchnię, przy którym siła tarcia nada samochodowi przyspieszenie o wartości .
Rozwiązanie
Wyjaśnienie
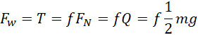
Siła wypadkowa jest siłą tarcia. Zapisujemy wzór na tę siłę. Następnie przekształcamy wzór i wstawiamy odpowiednie dane.