Na podstawie danych przedstawionych w treści zadania oblicz szybkość, którą narciarz osiągnął u podnóża górki (), oraz szybkość, z którą uderzył w zaspę ().
Rozwiązanie
Wyjaśnienie
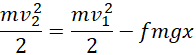
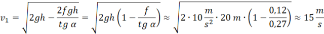
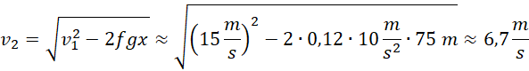
Energia mechaniczna narciarza w punkcie u podnóża górki ma wartość taką jak na szczycie górki, uszczuploną o pracę wykonaną przez siłę tarcia. Podobnie narciarz traci energię w przejeździe po płaskim terenie.