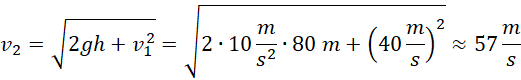
Oblicz szybkość, z jaką strzała uderzyłaby w powierzchnię ziemi u podnóża góry przy pomijaniu oporu powietrza.
Rozwiązanie
Wyjaśnienie
Korzystamy z zasady zachowania energii mechanicznej. Energia potencjalna i energia kinetyczna w pierwszym punkcie zmienia się w energię kinetyczną u podnóża góry.