Skul.pl
  • Opracowania zadań z podręczników
  • Fizyka. Klasa 7-8. Zbiór zadań - rozwiązania i odpowiedzi
  • Zadanie 11.17.

Fizyka. Klasa 7-8. Zbiór zadań - rozwiązania i odpowiedzi

Zbiór zadań, Wydawnictwo: WSiP
Poprzednie

Zadanie 11.17. - strona 147

Następne

Zadanie

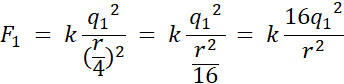
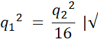
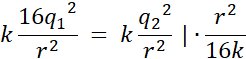
W tym zadaniu musisz podać, ile razy trzeba zmniejszyć ładunek elektryczny na dwóch naelektryzowanych kulkach, aby po zmniejszeniu odległości między kulkami 4 razy, siła oddziaływania między kulkami pozostała taka sama.

Rozwiązanie

Ładunek na każdej z kulek należy również zmniejszyć 4 razy.

Skul

Wyjaśnienie

Poprzednie
Następne

Fizyka - wybrane pytania

Zadanie 4., strona 18, Fizyka. Klasa 1. Podręcznik. Zakres rozszerzony – rozwiązania i odpowiedzi
Zadanie 3., strona 65, Odkryć fizykę. Klasa 3. Zakres podstawowy. Podręcznik - rozwiązania i odpowiedzi
Zadanie 2, strona 113, Fizyka. Klasy 1-3. Zakres podstawowy. Zbiór zadań - rozwiązania i odpowiedzi
Zadanie 3.59., strona 33, Fizyka. Klasa 7-8. Zbiór zadań - rozwiązania i odpowiedzi
Zadanie 6.20., strona 83, Fizyka. Klasa 7-8. Zbiór zadań - rozwiązania i odpowiedzi
Zadanie 4, strona 23, To jest fizyka. Klasa 8. Zeszyt ćwiczeń - rozwiązania i odpowiedzi
Zadanie 2., strona 25, Fizyka. Fizyka z plusem. Klasa 7. Podręcznik - rozwiązania i odpowiedzi
Zadanie 3, strona 120, Zrozumieć fizykę. Klasa 3. Zakres rozszerzony. Podręcznik - rozwiązania i odpowiedzi
Zadanie 38.9., strona 143, Zbiór zadań z fizyki dla szkoły podstawowej. Klasa 7-8 - rozwiązania i odpowiedzi
Zadanie 4.3.15., strona 138, Zrozumieć fizykę. Klasa 1. Zakres rozszerzony. Zbiór zadań - rozwiązania i odpowiedzi
REKLAMA
Skul
Zadania z tego działu
11. Ładunki i pole elektrostatyczne
144
11.1. Elektryzowanie ciał. Oddziaływanie ładunków. Zasada zachowania ładunku
144

Zadanie 11.1.

144

Zadanie 11.2.

144

Zadanie 11.3.

144

Zadanie 11.4.

144

Zadanie 11.5.

144

Zadanie 11.6.

145

Zadanie 11.7.

145

Zadanie 11.8.

145

Zadanie 11.9.

145

Zadanie 11.10.

146

Zadanie 11.11.

146

Zadanie 11.12.

146

Zadanie 11.13.

146

Zadanie 11.14.

146

Zadanie 11.15.

146

Zadanie 11.16.

147

Zadanie 11.17.

147

Zadanie 11.18.

147

Zadanie 11.19.

147

Podpunkt A)

147

Zadanie 11.20.

148

Zadanie 11.21.

148

Zadanie 11.22.

148

Zadanie 11.23.

148

Zadanie 11.24.

148

Zadanie 11.25.

149

Zadanie 11.26.

149

Zadanie 11.27.

149

Zadanie 11.28.

150

Zadanie 11.29.

150
11.2. Elektrostatyczne i jego energia. Kondensatory
151

Zadanie 11.30.

151

Zadanie 11.31.

151

Zadanie 11.32.

151

Zadanie 11.33.

152

Zadanie 11.34.

152

Zadanie 11.35.

152

Zadanie 11.36.

153

Zadanie 11.37.

153

Zadanie 11.38.

153

Zadanie 11.39.

153

Zadanie 11.40.

153

Zadanie 11.41.

153
Pełny spis treści
Skul
Artboard 1
Skul.pl
  • Napisz do nas
  • FAQ
  • Mapa Serwisu
  • Google Play
  • App Store

Korzystanie z portalu oznacza akceptację Regulaminu.
Polityka prywatności. Ustawienia preferencji. Copyright: INTERIA.PL 1999-2023 Wszystkie prawa zastrzeżone.