W grzejniku są trzy spirale grzejne, które należy połączyć ze sobą równolegle lub szeregowo lub każdą oddzielnie, aby otrzymać odpowiednią moc urządzenia. Dopasuj do odpowiedniej mocy grzejnika połączenia oporników.
Napięcie:
Opory grzałek:
Połączenie szeregowe:
Połączenie równoległe:
Opór zastępczy:
Natężenie prądu o oporze R i napięciu na baterii U:
Moc prądu elektrycznego:
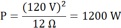
Kiedy podłączymy tylko pierwszą spiralę:
Podłączenie pierwszej spirali da nam moc P2.
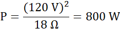
Kiedy podłączymy tylko drugą spiralę:
Podłączenie drugiej spirali da nam moc P1.
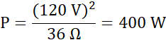
Kiedy podłączymy obu spirali równolegle:
Podłączenie spirali równolegle da nam moc P3.
Skorzystaj ze wzoru na moc prądu elektrycznego:
gdzie P – moc [W],
U – napięcie [V],
I – natężenie prądu [A].
Skorzystaj ze wzoru na natężenie prądu:
gdzie R – opór elektryczny [Ω],
U – napięcie [V],
I – natężenie prądu [A].
Jeśli oporniki są połączone szeregowo, to zsumuj ich wartości oporów. Jeśli są połączone równolegle, korzystaj ze wzoru:
gdzie Rzast – opór zastępczy,
R1, R2, Rn – wszystkie wartości oporników połączonych równolegle.
Zadanie 13.2.1.
163Zadanie 13.2.2.
163Zadanie 13.2.5.
164Zadanie 13.2.6.
164Zadanie 13.3.11.
170Zadanie 13.3.12.
171Zadanie 13.3.13.
171Zadanie 13.3.14.
171Zadanie 13.4.1.
173Zadanie 13.4.2.
174Zadanie 13.4.3.
174Zadanie 13.4.6.
174Zadanie 13.4.8.
175Zadanie 13.5.5.
179Zadanie 13.5.7.
179Zadanie 13.5.10.
180Zadanie 13.5.15.
181Zadanie 13.6.4.
189Zadanie 13.6.7.
189Zadanie 13.6.11.
190Zadanie 13.6.12.
190Zadanie 13.6.13.
190Zadanie 13.6.14.
191Zadanie 13.6.15.
191Zadanie 13.7.4.
196Zadanie 13.7.7.
197Zadanie 13.8.3.
203Zadanie 13.8.5.
203Zadanie 13.8.7.
204Zadanie 13.8.8.
204Zadanie 13.8.14.
205