Policz moc wydzieloną na każdej żarówce i porównaj ją z wartościami nominalnymi.
Napięcie źródła:
Parametry pierwszej żarówki:
Parametry drugiej żarówki:
Natężenie prądu:
Moc prądu elektrycznego:
Wzór na napięcie:
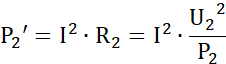
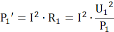
Moc wydzialana na żarówkach
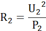
Opór (z poprzedniego zadania):
Skorzystaj ze wzoru na moc prądu elektrycznego:
gdzie P – moc [W],
U – napięcie [V],
I – natężenie prądu [A].
Skorzystaj ze wzoru na natężenie prądu:
gdzie R – opór elektryczny [Ω],
U – napięcie [V],
I – natężenie prądu [A].
Jeśli uwzględnilibyśmy zmianę oporu wraz z temperaturą, to obliczenia byłyby dokładniejsze, ale za to bardziej skomplikowane.
Zadanie 13.2.1.
163Zadanie 13.2.2.
163Zadanie 13.2.5.
164Zadanie 13.2.6.
164Zadanie 13.3.11.
170Zadanie 13.3.12.
171Zadanie 13.3.13.
171Zadanie 13.3.14.
171Zadanie 13.4.1.
173Zadanie 13.4.2.
174Zadanie 13.4.3.
174Zadanie 13.4.6.
174Zadanie 13.4.8.
175Zadanie 13.5.5.
179Zadanie 13.5.7.
179Zadanie 13.5.10.
180Zadanie 13.5.15.
181Zadanie 13.6.4.
189Zadanie 13.6.7.
189Zadanie 13.6.11.
190Zadanie 13.6.12.
190Zadanie 13.6.13.
190Zadanie 13.6.14.
191Zadanie 13.6.15.
191Zadanie 13.7.4.
196Zadanie 13.7.7.
197Zadanie 13.8.3.
203Zadanie 13.8.5.
203Zadanie 13.8.7.
204Zadanie 13.8.8.
204Zadanie 13.8.14.
205