Na schemacie przedstawiono diody połączone równolegle ze źródłem napięcia. Policz, jakie opory zabezpieczają każdą z diod.
Napięcie diod:
Natężenie prądu:
Napięcie na źródle:
Jest takie samo jak łączne napięcie na każdej gałęzi (połączenie równoległe).
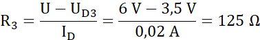
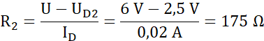
Napięcie na każdym oporniku:
Opór elektryczny:
Opór każdego rezystora:
Skorzystaj ze wzoru na opór elektryczny:
gdzie R – opór elektryczny [Ω],
U – napięcie [V],
I – natężenie prądu [A].
Gdyby nie było tego opornika, to przez diodę płynąłby zbyt duży prąd, co spowodowałoby spalenie się diody.
Suma napięć na odbiornikach (diody, oporniki) jest równa napięciu na źródle. W połączeniu równoległym każda gałąź ma łącznie takie samo napięcie.
Zadanie 13.2.1.
163Zadanie 13.2.2.
163Zadanie 13.2.5.
164Zadanie 13.2.6.
164Zadanie 13.3.11.
170Zadanie 13.3.12.
171Zadanie 13.3.13.
171Zadanie 13.3.14.
171Zadanie 13.4.1.
173Zadanie 13.4.2.
174Zadanie 13.4.3.
174Zadanie 13.4.6.
174Zadanie 13.4.8.
175Zadanie 13.5.5.
179Zadanie 13.5.7.
179Zadanie 13.5.10.
180Zadanie 13.5.15.
181Zadanie 13.6.4.
189Zadanie 13.6.7.
189Zadanie 13.6.11.
190Zadanie 13.6.12.
190Zadanie 13.6.13.
190Zadanie 13.6.14.
191Zadanie 13.6.15.
191Zadanie 13.7.4.
196Zadanie 13.7.7.
197Zadanie 13.8.3.
203Zadanie 13.8.5.
203Zadanie 13.8.7.
204Zadanie 13.8.8.
204Zadanie 13.8.14.
205