Spójrz na rysunek obwodu elektrycznego i policz moc użyteczną, moc całkowitą oraz sprawność baterii.
SEM:
Opory:
Opór zastępczy:
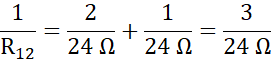
R1 i R2 są połączone równolegle:
Opór zastępczy układu (R12 i r połączone szeregowo):
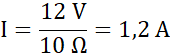
Natężenie prądu:
Moc użyteczna (na opornikach 1 i 2):
Moc całkowita (na wszystkich opornikach)
Sprawność baterii:
Moc użyteczna obejmuje moc wydzieloną na wszystkich opornikach. Jeśli weźmiesz pod uwagę opór zastępczy, to możesz uznać, że prąd w układzie oporników ma takie samo natężenie, jak to które płynie przez źródło i opór wewnętrzny.
Moc całkowita moc obejmująca opór na źródłach.
Wzór na napięcie:
gdzie R – opór elektryczny zastępczy [
U – napięcie [V],
I – natężenie prądu [A].
Skorzystaj ze wzoru na moc prądu elektrycznego:
gdzie P – moc [W],
U – napięcie [V],
I – natężenie prądu [A].
Zadanie 13.2.1.
163Zadanie 13.2.2.
163Zadanie 13.2.5.
164Zadanie 13.2.6.
164Zadanie 13.3.11.
170Zadanie 13.3.12.
171Zadanie 13.3.13.
171Zadanie 13.3.14.
171Zadanie 13.4.1.
173Zadanie 13.4.2.
174Zadanie 13.4.3.
174Zadanie 13.4.6.
174Zadanie 13.4.8.
175Zadanie 13.5.5.
179Zadanie 13.5.7.
179Zadanie 13.5.10.
180Zadanie 13.5.15.
181Zadanie 13.6.4.
189Zadanie 13.6.7.
189Zadanie 13.6.11.
190Zadanie 13.6.12.
190Zadanie 13.6.13.
190Zadanie 13.6.14.
191Zadanie 13.6.15.
191Zadanie 13.7.4.
196Zadanie 13.7.7.
197Zadanie 13.8.3.
203Zadanie 13.8.5.
203Zadanie 13.8.7.
204Zadanie 13.8.8.
204Zadanie 13.8.14.
205