Policz, jakie będzie wskazanie amperomierza w sytuacji na rysunku b.
Oporniki 10 Ω i 40 Ω są połączone równolegle:
Opór zastępczy układu:
Napięcie:
Natężenie prądu w obwodzie wynikające z prawa Ohma:
Napięcie na oporniku 12 Ω:
Ile wynosi napięcie na opornikach 10 Ω i 40 Ω (są połączone równoległe, dlatego jest takie samo):
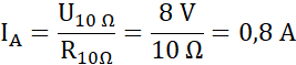
Natężenie prądu w gałęzi z amperomierzem wynikające z prawa Ohma:
Amperomierz wskazuje 0,8 A.
Wzór na natężenie prądu:
gdzie R – opór elektryczny [Ω],
U – napięcie [V],
I – natężenie prądu [A].
Wzór na napięcie:
Na oporniku 12 omów ma miejsce spadem napięcia z napięcia na zaciskach. Następnie to napięcie jest takie samo na dwóch gałęziach (w połączeniu równoległym napięcie jest takie samo, a natężenia rozdzielają się z zgodnie z I prawem Kirchoffa).
Zadanie 13.2.1.
163Zadanie 13.2.2.
163Zadanie 13.2.5.
164Zadanie 13.2.6.
164Zadanie 13.3.11.
170Zadanie 13.3.12.
171Zadanie 13.3.13.
171Zadanie 13.3.14.
171Zadanie 13.4.1.
173Zadanie 13.4.2.
174Zadanie 13.4.3.
174Zadanie 13.4.6.
174Zadanie 13.4.8.
175Zadanie 13.5.5.
179Zadanie 13.5.7.
179Zadanie 13.5.10.
180Zadanie 13.5.15.
181Zadanie 13.6.4.
189Zadanie 13.6.7.
189Zadanie 13.6.11.
190Zadanie 13.6.12.
190Zadanie 13.6.13.
190Zadanie 13.6.14.
191Zadanie 13.6.15.
191Zadanie 13.7.4.
196Zadanie 13.7.7.
197Zadanie 13.8.3.
203Zadanie 13.8.5.
203Zadanie 13.8.7.
204Zadanie 13.8.8.
204Zadanie 13.8.14.
205