Spójrz na schemat obwodu elektrycznego i ustal, co wskaże amperomierz i woltomierz, kiedy suwak opornika suwakowego znajduje się w połowie długości.
Obwód elektryczny można sprowadzić do poniższego schematu:
Opór zastępczy układu:
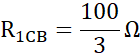
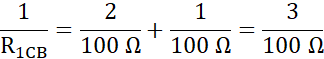
Oporniki R1 i RCB są połączone równolegle:
Oporniki R1CB i RCA są połączone szeregowo:
Opór zastępczy
Napięcie:
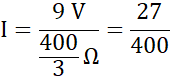
Natężenie prądu przy wyjściu ze źródła:
Napięcie na oporniku AC:
Napięcie na oporniku R1 jest równe napięciu na RCB:
Wskazanie woltomierza:
Natężenie prądu na tej gałęzi:
Wskazanie amperomierza:
Zauważ, że w tym przypadku potencjometr jest podzielony na 2 mniejsze oporniki: AC (płynie w nim prąd z obu gałęzi), oraz CB (płynie w nim prąd tylko z jednej gałęzi.
Woltomierz ma bardzo duży opór i w praktyce uznaj, że nie ma go w obwodzie i nie zmienia on wyników. Amperomierz ma bardzo mały opór, dlatego nie ma na nim spadków napięć.
Skorzystaj ze wzoru na natężenie prądu:
gdzie R – opór elektryczny [Ω],
U – napięcie [V],
I – natężenie prądu [A].
gdzie R – opór elektryczny zastępczy [
U – napięcie [V],
I – natężenie prądu [A].
Zadanie 13.2.1.
163Zadanie 13.2.2.
163Zadanie 13.2.5.
164Zadanie 13.2.6.
164Zadanie 13.3.11.
170Zadanie 13.3.12.
171Zadanie 13.3.13.
171Zadanie 13.3.14.
171Zadanie 13.4.1.
173Zadanie 13.4.2.
174Zadanie 13.4.3.
174Zadanie 13.4.6.
174Zadanie 13.4.8.
175Zadanie 13.5.5.
179Zadanie 13.5.7.
179Zadanie 13.5.10.
180Zadanie 13.5.15.
181Zadanie 13.6.4.
189Zadanie 13.6.7.
189Zadanie 13.6.11.
190Zadanie 13.6.12.
190Zadanie 13.6.13.
190Zadanie 13.6.14.
191Zadanie 13.6.15.
191Zadanie 13.7.4.
196Zadanie 13.7.7.
197Zadanie 13.8.3.
203Zadanie 13.8.5.
203Zadanie 13.8.7.
204Zadanie 13.8.8.
204Zadanie 13.8.14.
205