Akumulator podłączono z odbiornikiem, któremu płynnie zmienia się opór. Moc użyteczna jest taka sama dla oporów 8 omów i 2 omy. Policz, ile wynosi opór wewnętrzny tego akumulatora.
Opory:
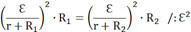
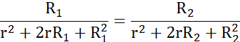
Moc jest taka sama:
Moc:
Natężenie prądu:
Wstawiam do wzoru:
Siła elektromotoryczna jest napięciem na źródle w zamkniętym obwodzie. Opór wewnętrzny baterii potraktuj jako dodatkowy opornik dołączony szeregowo do źródła napięcia. Natężenie prądu jest takie same dla wszystkich elementów połączonych szeregowo.
Moc użyteczna nie obejmuje nigdy mocy wydzielonej na oporze akumulatora.
Zadanie 13.2.1.
163Zadanie 13.2.2.
163Zadanie 13.2.5.
164Zadanie 13.2.6.
164Zadanie 13.3.11.
170Zadanie 13.3.12.
171Zadanie 13.3.13.
171Zadanie 13.3.14.
171Zadanie 13.4.1.
173Zadanie 13.4.2.
174Zadanie 13.4.3.
174Zadanie 13.4.6.
174Zadanie 13.4.8.
175Zadanie 13.5.5.
179Zadanie 13.5.7.
179Zadanie 13.5.10.
180Zadanie 13.5.15.
181Zadanie 13.6.4.
189Zadanie 13.6.7.
189Zadanie 13.6.11.
190Zadanie 13.6.12.
190Zadanie 13.6.13.
190Zadanie 13.6.14.
191Zadanie 13.6.15.
191Zadanie 13.7.4.
196Zadanie 13.7.7.
197Zadanie 13.8.3.
203Zadanie 13.8.5.
203Zadanie 13.8.7.
204Zadanie 13.8.8.
204Zadanie 13.8.14.
205