Policz opór zastępczy oporników przedstawionych na schemacie.
Dwa oporniki połączone szeregowo:
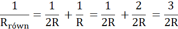
Oporniki R i 2 R połączone równolegle:
Szeregowe połączenie:
Jeśli oporniki są połączone szeregowo, to zsumuj ich wartości oporów. Jeśli są połączone równolegle, korzystaj ze wzoru:
gdzie Rzast – opór zastępczy,
R1, R2, Rn – wszystkie wartości oporników połączonych równolegle.
Zadanie 13.2.1.
163Zadanie 13.2.2.
163Zadanie 13.2.5.
164Zadanie 13.2.6.
164Zadanie 13.3.11.
170Zadanie 13.3.12.
171Zadanie 13.3.13.
171Zadanie 13.3.14.
171Zadanie 13.4.1.
173Zadanie 13.4.2.
174Zadanie 13.4.3.
174Zadanie 13.4.6.
174Zadanie 13.4.8.
175Zadanie 13.5.5.
179Zadanie 13.5.7.
179Zadanie 13.5.10.
180Zadanie 13.5.15.
181Zadanie 13.6.4.
189Zadanie 13.6.7.
189Zadanie 13.6.11.
190Zadanie 13.6.12.
190Zadanie 13.6.13.
190Zadanie 13.6.14.
191Zadanie 13.6.15.
191Zadanie 13.7.4.
196Zadanie 13.7.7.
197Zadanie 13.8.3.
203Zadanie 13.8.5.
203Zadanie 13.8.7.
204Zadanie 13.8.8.
204Zadanie 13.8.14.
205