Policz, ile wynoszą siły elektromotoryczne i opory wewnętrzne baterii, które powstały z 3 jednakowych ogniw, które raz połączono szeregowo, a raz równolegle.
SEM:
Opór wewnętrzny:
Połączenie szeregowe:
3 oporniki połączone szeregowo:
Opór zastępczy:
Opór wewnętrzny baterii:
Siła elektromotoryczna baterii (napięcia dodajemy):
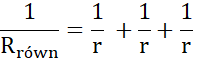
Połączenie równoległe:
Opór wewnętrzny baterii:
Siła elektromotoryczna baterii :
Ogniwa połączone szeregowo prowadzą do zwiększenia napięcia. Ogniwa połączone równoległe będą miały takie samo napięcie (zwiększamy natężenie prądu).
Zadanie 13.2.1.
163Zadanie 13.2.2.
163Zadanie 13.2.5.
164Zadanie 13.2.6.
164Zadanie 13.3.11.
170Zadanie 13.3.12.
171Zadanie 13.3.13.
171Zadanie 13.3.14.
171Zadanie 13.4.1.
173Zadanie 13.4.2.
174Zadanie 13.4.3.
174Zadanie 13.4.6.
174Zadanie 13.4.8.
175Zadanie 13.5.5.
179Zadanie 13.5.7.
179Zadanie 13.5.10.
180Zadanie 13.5.15.
181Zadanie 13.6.4.
189Zadanie 13.6.7.
189Zadanie 13.6.11.
190Zadanie 13.6.12.
190Zadanie 13.6.13.
190Zadanie 13.6.14.
191Zadanie 13.6.15.
191Zadanie 13.7.4.
196Zadanie 13.7.7.
197Zadanie 13.8.3.
203Zadanie 13.8.5.
203Zadanie 13.8.7.
204Zadanie 13.8.8.
204Zadanie 13.8.14.
205