Na postawie schematu a) oblicz ładunek i energię zgromadzoną w kondensatorze.
Opory:
Napięcie:
Opór zastępczy oporników połączonych szeregowo:
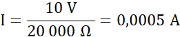
Natężenie prądu płynącego przez obwód
Napięcie na prawym oporniku:
Napięcie jest równe napięciu na kondensatorze:
Pojemność kondensatora:
Ładunek zgromadzony w kondensatorze:
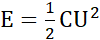
Energia zgromadzona w kondensatorze:
Wzór na ładunek zgromadzony w kondensatorze:
gdzie Q – ładunek elektryczny zgromadzony w kondensatorze [C],
C- pojemność kondensatora [F],
U – napięcie [V].
Skorzystaj ze wzoru na energię zgromadzoną w kondensatorze:
E – energia zgromadzona w kondensatorze [J],
C – pojemność kondensatora [F],
U – napięcie [V].
W kondensatorach gromadzi się ładunek elektryczny.
Zadanie 13.2.1.
163Zadanie 13.2.2.
163Zadanie 13.2.5.
164Zadanie 13.2.6.
164Zadanie 13.3.11.
170Zadanie 13.3.12.
171Zadanie 13.3.13.
171Zadanie 13.3.14.
171Zadanie 13.4.1.
173Zadanie 13.4.2.
174Zadanie 13.4.3.
174Zadanie 13.4.6.
174Zadanie 13.4.8.
175Zadanie 13.5.5.
179Zadanie 13.5.7.
179Zadanie 13.5.10.
180Zadanie 13.5.15.
181Zadanie 13.6.4.
189Zadanie 13.6.7.
189Zadanie 13.6.11.
190Zadanie 13.6.12.
190Zadanie 13.6.13.
190Zadanie 13.6.14.
191Zadanie 13.6.15.
191Zadanie 13.7.4.
196Zadanie 13.7.7.
197Zadanie 13.8.3.
203Zadanie 13.8.5.
203Zadanie 13.8.7.
204Zadanie 13.8.8.
204Zadanie 13.8.14.
205