Dane:
Szukane:
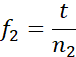
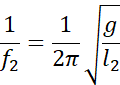
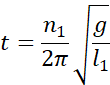
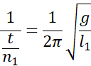
Rozwiązanie:
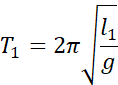
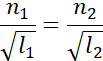
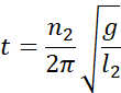
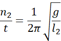
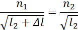
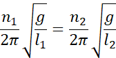
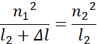
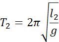
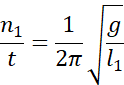
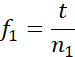
Częstotliwość to stosunek ilości pełnych drgań do czasu, w którym ciało je wykonało. Korzystając ze wzoru na okres drgań wahadła matematycznego, wyprowadzamy wzór na jego częstotliwość i podstawiamy wcześniej wymieniona zależność. Na podstawie tej równości wyprowadzamy wzór na długość jednego z wahadeł.