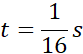
Dane:
Szukane:
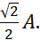
Rozwiązanie:
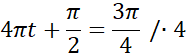
Po raz pierwszy dla
Widzimy, że czas ujemny, kolejny argument, który będzie spełniał równanie początkowe to
Najpierw zapisujemy równanie ruchu dla ciała drgającego, korzystając z danych z treści zadania, następnie przyrównujemy do