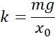
Dane:
Szukane:
Rozwiązanie:
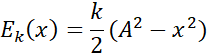
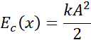
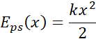
Korzystając z zależności, że energia całkowita układu jest zawsze równa energii kinetycznej i potencjalnej i jest stała. Wyprowadzamy wzór na energię kinetyczną, następnie korzystając z faktu, że po założeniu obciążnika układ rozciągnął się w dół o