Należy napisać równanie wychylenie punktu materialnego korzystając z danych przedstawionych na wykresie jego prędkości.
Dane:
Szukane:
Rozwiązanie:
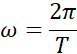
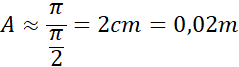
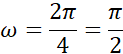
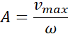
Korzystając ze wzorów na prędkość kontową oraz prędkość maksymalną obliczamy potrzebne dane do napisania równania wychylenia, z wykresu odczytujemy informację o tym, że faza początkowa ruchu jest równa zero, gdyż wykres prędkość jest nieprzesunięty.
Zadanie 9.1.5.
135Zadanie 9.1.7.
136Zadanie 9.1.8.
136Zadanie 9.1.10.
136Zadanie 9.1.11.
137Zadanie 9.1.12.
137Zadanie 9.1.13.
137Zadanie 9.1.14.
137Zadanie 9.2.7.
144Zadanie 9.2.8.
144Zadanie 9.2.11.
145Zadanie 9.2.12.
145Zadanie 9.1.14.
145Zadanie 9.3.1
149Zadanie 9.3.7.
150Zadanie 9.3.8.
150Zadanie 9.3.10.
150Zadanie 9.3.11.
150Zadanie 9.3.12.
151Zadanie 9.3.14.
151Zadanie 9.4.2.
159Zadanie 9.4.10.
161Zadanie 9.4.17.
162Zadanie 1. Ruch drgający
174Zadanie 2. Suwnica bramowa
174Zadanie 3. Dwie sprężyny
175Zadanie 4. Winda towarowa
175Zadanie 5. Wahadło fizyczne
176