Dane:
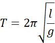
Szukane:
Rozwiązanie:
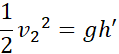
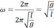
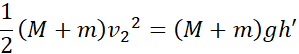
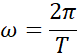
Z zasady zachowania energii mamy:
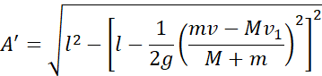
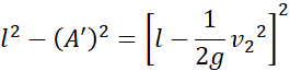
Korzystając ze wzoru na prędkość maksymalną ruchu drgającego, która jest prędkością przez zderzeniem, zapisujemy zasadę zachowania pędu, na podstawie której wyprowadzamy wzór na szukaną amplitudę, w miejscu wysokości podstawiamy zależność, wyprowadzoną z twierdzenia Pitagorasa dla trójkąta powstałego poprzez nowe wychylenie z równowagi po zderzeniu.