Zadanie

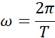
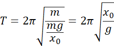
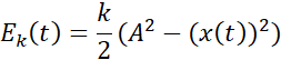
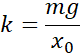
Należy napisać równanie energii kinetycznej ciała zależnej od czasu.

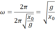
Rozwiązanie

Wyjaśnienie

Zadania z tego działu
9. Ruch drgający
135