Dane:
Szukane:
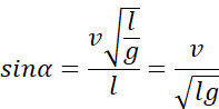
Rozwiązanie:
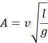
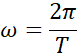
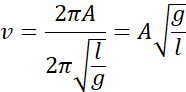
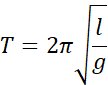
Prędkość podana w zadaniu jest osiągana w momencie przejścia przez położenie równowagi, zatem jest to prędkość maksymalna tego ruchu harmonicznego. Korzystając ze wzoru na prędkość maksymalną, wyprowadzamy wzór na amplitudę drgań, jest to maksymalne wychylenie wahadła zatem tak jak na rysunku szukany kąt znajduje się pomiędzy