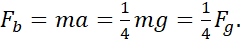
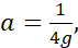
Rozpatrzmy zjawisko w układzie nieinercjalnym. Na wahadło oczywiście działa siła ciężkości, która jest zawsze zwrócona pionowo w dół, oprócz siły ciężkości działa również siła nacisku nici, siła bezwładności zwrócona zawsze w przeciwnym kierunku niż odbywający się ruch całego układu, czyli w tym przypadku winda jedzie w dół, zatem siła skierowana będzie w górę. Siły