Należy obliczyć energię kinetyczną i potencjalną grawitacji nakrętki, gdy wychyle się o 3 cm z położenia równowagi.
Dane:
Szukane:
Rozwiązanie:
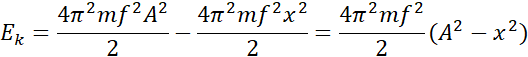
Korzystając ze wzorów na prędkość kątową, współczynnik sprężystości, obliczamy energię potencjalną grawitacji, która w ruchu harmonicznym prostym wyraża się takim samym wzorem jak siła sprężystości, mimo że nie ma w układzie sprężyny. Energię kinetyczną obliczamy z faktu, że energia całkowita jest sumą potencjalnej i kinetycznej i jest stała w każdym momencie ruchu ciała.
Zadanie 9.1.5.
135Zadanie 9.1.7.
136Zadanie 9.1.8.
136Zadanie 9.1.10.
136Zadanie 9.1.11.
137Zadanie 9.1.12.
137Zadanie 9.1.13.
137Zadanie 9.1.14.
137Zadanie 9.2.7.
144Zadanie 9.2.8.
144Zadanie 9.2.11.
145Zadanie 9.2.12.
145Zadanie 9.1.14.
145Zadanie 9.3.1
149Zadanie 9.3.7.
150Zadanie 9.3.8.
150Zadanie 9.3.10.
150Zadanie 9.3.11.
150Zadanie 9.3.12.
151Zadanie 9.3.14.
151Zadanie 9.4.2.
159Zadanie 9.4.10.
161Zadanie 9.4.17.
162Zadanie 1. Ruch drgający
174Zadanie 2. Suwnica bramowa
174Zadanie 3. Dwie sprężyny
175Zadanie 4. Winda towarowa
175Zadanie 5. Wahadło fizyczne
176