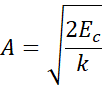
Korzystając z danych w treści zadania, należy obliczyć amplitudę drgań układu.
Dane:
Szukane:
Rozwiązanie:
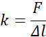
Odczytując dane z wykresu, obliczamy współczynnik sprężystości sprężyny, następnie korzystając ze wzoru na siłę całkowitą, którą mamy podaną w danych w tabeli, wyprowadzamy wzór na amplitudę drgań, powinny się tam znaleźć rozwiązanie z minusem, gdyż wychylenie może być w przeciwną stronę, ale nie ma to żadnego wpływu na nasze zadanie i jego wynik.
Zadanie 9.1.5.
135Zadanie 9.1.7.
136Zadanie 9.1.8.
136Zadanie 9.1.10.
136Zadanie 9.1.11.
137Zadanie 9.1.12.
137Zadanie 9.1.13.
137Zadanie 9.1.14.
137Zadanie 9.2.7.
144Zadanie 9.2.8.
144Zadanie 9.2.11.
145Zadanie 9.2.12.
145Zadanie 9.1.14.
145Zadanie 9.3.1
149Zadanie 9.3.7.
150Zadanie 9.3.8.
150Zadanie 9.3.10.
150Zadanie 9.3.11.
150Zadanie 9.3.12.
151Zadanie 9.3.14.
151Zadanie 9.4.2.
159Zadanie 9.4.10.
161Zadanie 9.4.17.
162Zadanie 1. Ruch drgający
174Zadanie 2. Suwnica bramowa
174Zadanie 3. Dwie sprężyny
175Zadanie 4. Winda towarowa
175Zadanie 5. Wahadło fizyczne
176