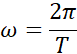
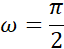
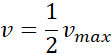
Zadanie

Należy wskazać czas, dla którego prędkość będzie równa połowie wartości maksymalnej prędkości tego ruchu.

Rozwiązanie

Wyjaśnienie

Zadania z tego działu
9. Ruch drgający
135