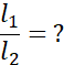
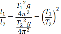
Należy obliczyć stosunek długości wahadła 1 do 2 lub odwrotnie.
Dane:
Szukane:
Rozwiązanie:
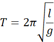
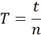
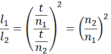
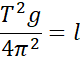
Musimy pamiętać, że okres to czas, jaki ciało potrzebuje na wykonanie jednego pełnego wahnięcia, czyli będzie to czas podzielony przez liczbę wahnięć, jakie wahadło wykonało w tym czasie. Zapisując wzór na okres, wyprowadzamy wzór na długość wahadła następnie dzielimy nasze wzory i upraszczamy, otrzymując końcowy wzór na nasz stosunek długości wahadeł.
Zadanie 9.1.5.
135Zadanie 9.1.7.
136Zadanie 9.1.8.
136Zadanie 9.1.10.
136Zadanie 9.1.11.
137Zadanie 9.1.12.
137Zadanie 9.1.13.
137Zadanie 9.1.14.
137Zadanie 9.2.7.
144Zadanie 9.2.8.
144Zadanie 9.2.11.
145Zadanie 9.2.12.
145Zadanie 9.1.14.
145Zadanie 9.3.1
149Zadanie 9.3.7.
150Zadanie 9.3.8.
150Zadanie 9.3.10.
150Zadanie 9.3.11.
150Zadanie 9.3.12.
151Zadanie 9.3.14.
151Zadanie 9.4.2.
159Zadanie 9.4.10.
161Zadanie 9.4.17.
162Zadanie 1. Ruch drgający
174Zadanie 2. Suwnica bramowa
174Zadanie 3. Dwie sprężyny
175Zadanie 4. Winda towarowa
175Zadanie 5. Wahadło fizyczne
176