Należy udowodnić, że przy danych parametrach długość nici jest równa około 1 m.
Dane:
Teza:
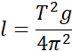
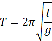
Dowód:
Korzystając ze wzoru na okres drgań wahadła matematycznego, wyprowadzamy wzór na jego długość, podstawiając dane do wzoru i obliczając ostateczną wartość, dochodzimy do wniosku, że długość wahadła jest równa około 1, co należało dowieść.
Zadanie 9.1.5.
135Zadanie 9.1.7.
136Zadanie 9.1.8.
136Zadanie 9.1.10.
136Zadanie 9.1.11.
137Zadanie 9.1.12.
137Zadanie 9.1.13.
137Zadanie 9.1.14.
137Zadanie 9.2.7.
144Zadanie 9.2.8.
144Zadanie 9.2.11.
145Zadanie 9.2.12.
145Zadanie 9.1.14.
145Zadanie 9.3.1
149Zadanie 9.3.7.
150Zadanie 9.3.8.
150Zadanie 9.3.10.
150Zadanie 9.3.11.
150Zadanie 9.3.12.
151Zadanie 9.3.14.
151Zadanie 9.4.2.
159Zadanie 9.4.10.
161Zadanie 9.4.17.
162Zadanie 1. Ruch drgający
174Zadanie 2. Suwnica bramowa
174Zadanie 3. Dwie sprężyny
175Zadanie 4. Winda towarowa
175Zadanie 5. Wahadło fizyczne
176