Dane:
Rozwiązanie:
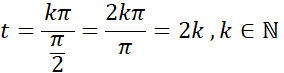
Punkty: A, C, E
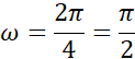
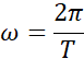
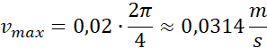
Aby rozwiązać zadanie, musimy pamiętać, że prędkość maksymalna może mieć ujemny znak, porównując równanie prędkości od czasu ciała drgającego i wzór na prędkość maksymalną dochodzimy do wniosku, że prędkość będzie maksymalna, wtedy kiedy