Należy obliczyć okres drgań drewnianej kuli przy podanych warunkach.
Dane:
Szukane:
Rozwiązanie:
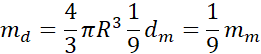
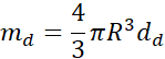
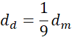
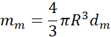
Rozpisujemy wzory na okresy drgań dla poszczególnych kuli, następnie korzystając z tego, że kule są takich samych promieni, a gęstość drewnianej jest dziewięć razy mniejsza niż metalowej, obliczamy masę drewnianej kuli w zależności od masy metalowej i podstawiamy do wzoru na okres kuli drewnianej. W ten sposób otrzymujemy końcowy wynik.
Zadanie 9.1.5.
135Zadanie 9.1.7.
136Zadanie 9.1.8.
136Zadanie 9.1.10.
136Zadanie 9.1.11.
137Zadanie 9.1.12.
137Zadanie 9.1.13.
137Zadanie 9.1.14.
137Zadanie 9.2.7.
144Zadanie 9.2.8.
144Zadanie 9.2.11.
145Zadanie 9.2.12.
145Zadanie 9.1.14.
145Zadanie 9.3.1
149Zadanie 9.3.7.
150Zadanie 9.3.8.
150Zadanie 9.3.10.
150Zadanie 9.3.11.
150Zadanie 9.3.12.
151Zadanie 9.3.14.
151Zadanie 9.4.2.
159Zadanie 9.4.10.
161Zadanie 9.4.17.
162Zadanie 1. Ruch drgający
174Zadanie 2. Suwnica bramowa
174Zadanie 3. Dwie sprężyny
175Zadanie 4. Winda towarowa
175Zadanie 5. Wahadło fizyczne
176