Objętość wody rośnie w takim samym tempie w obu butelkach.
Skoro woda podniosła się na taką samą wysokość, to objętość tej cieczy wyrazimy wzorem:
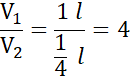
Objętość V1, jaka znajduje się w rurce 1 jest 4 razy większa od objętości V2
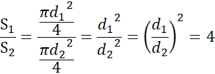
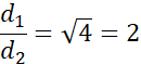
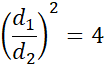
Stosunek średnic:
Zauważ, że stosunek objętości, jakie znajdują się w rurkach, jest równy stosunkowi objętości znajdujących się w naczyniach.
Zauważ, że rurka jest walcem, w którym pole podstawy liczymy za pomocą wzoru:
gdzie S – pole przekroju podstawy,
d – średnica podstawy.