Dane:
Szukane:
Rozwiązanie:
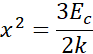
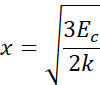
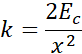
Dla
Korzystając z wykresu, odczytujemy amplitudę oraz energię całkowitą, która jest równa energii potencjalnej sprężystości, wtedy kiedy wychylenie jest równe amplitudzie, czyli jest największe. Na podstawie wzoru energii potencjalnej wyprowadzamy wzór na współczynnik sprężystości. Rozpisując zależność energii kinetycznej dla prędkości równej połowie maksymalnej, otrzymujemy, że jest równa